„Es ist besser als ein Wolf zu sterben, denn als ein Hund zu leben.“ (Herbert Wehner)

Ich grüße Sie, lieber Gast!

Hallo nochmal! Sie sind hier auf der Homepage von „Sven Dooley“ gelandet. Drücken Sie einen Button oben in der Leiste, um die Inhalte dieser Webpräsenz zu durchstöbern. Ich empfehle mit der Home-Seite zu starten, damit Sie das Video („Surfer“ bricht aus der Formation aus!) zu meiner Internetseite, welches mir sehr am Herzen liegt, sehen werden!


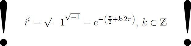
Ich möchte Ihnen an dieser Stelle zu Beginn noch eine sehr kuriose Formel nicht vorenthalten:

Die Zahl i = Wurzel aus -1 (die imaginäre Einheit) liegt nicht auf dem Zahlenstrahl, denn sonst wäre das Quadrat dieser Zahl größer-gleich 0; es gilt aber: i zum Quadrat ist gleich -1<0. Komischerweise liegt aber i hoch i wieder auf dem Zahlenstrahl, wie man in der Formel oben sieht. i hoch i ist eine mehrdeutige Zahl, und zwar ist sie beliebig nahe an Null und beliebig nahe an Unendlich!